Rpp Bahasa Indonesia Smp Kelas 8 Kurikulum 2013 - Buku Bahasa Inggris SMP Kelas 9 Revisi 2017-2018 Kurikulum : Buku pelajaran bahasa dan sastra indonesia.

Beli koleksi rpp smp kelas 8 kurikulum 2013 revisi 2017 online lengkap edisi & harga terbaru november 2021 di tokopedia! Tidak hanya rpp bahasa indonesia k13 matematika kelas 8 saja . Buku pelajaran bahasa dan sastra indonesia. File ini kami sediakan untuk administrasi guru kurikulum 2013 smp kelas 8. Kami akan berusaha mengupdate informasi terkait rpp kelas 8 smp/mts kurikulum 2013 versi yang terbaru yaitu 2018 secepatnya.

Tidak hanya rpp bahasa indonesia k13 matematika kelas 8 saja . Silabus IPA Kelas 7 SMP/MTs Kurikulum 2013 - antapedia.com
Silabus IPA Kelas 7 SMP/MTs Kurikulum 2013 - antapedia.com from 1.bp.blogspot.com
∙ promo pengguna baru ∙ kurir . Rpp 1 lembar bahasa indonesia kelas 8 semester 1 revisi 2020 merupakan. Ilmubindo.com_ kali ini admin akan bagikan kepada bapak/ibu guru mata pelajaran bahasa indonesia kelas viii kurikulum 2013 revisi tahun 2016. Pada pembelajaran kurikulum 2013 selain rpp masih banyak perangkat . Revisi 7 rpp 2017 inggris bahasa 8 kelas kurikulum 9 smp 2013 tingkat. Rpp satu lembar/halaman kurikulum 2013 khusus jenjang smp kelas 8 8 serta 9 . Buku pelajaran bahasa dan sastra indonesia. Di dalam standar proses yang telah ditentukan oleh pemerintah bahwa penyusunan rpp kurikulum 2013 tingkat smp dibuat oleh guru.

Buku pelajaran bahasa dan sastra indonesia.

Buku pelajaran bahasa dan sastra indonesia. Kami akan berusaha mengupdate informasi terkait rpp kelas 8 smp/mts kurikulum 2013 versi yang terbaru yaitu 2018 secepatnya. File ini kami sediakan untuk administrasi guru kurikulum 2013 smp kelas 8. Rpp 1 lembar bahasa indonesia kelas 8 semester 1 revisi 2020 merupakan. Rpp bahasa indonesia smp/mts kelas 8 k13 revisi 2017 ini sudah saya edit dengan rapih dan siap cetak, jadi bapak dan ibu dewan guru mata . Rpp satu lembar/halaman kurikulum 2013 khusus jenjang smp kelas 8 8 serta 9 . Di dalam standar proses yang telah ditentukan oleh pemerintah bahwa penyusunan rpp kurikulum 2013 tingkat smp dibuat oleh guru. Ilmubindo.com_ kali ini admin akan bagikan kepada bapak/ibu guru mata pelajaran bahasa indonesia kelas viii kurikulum 2013 revisi tahun 2016. ∙ promo pengguna baru ∙ kurir . Tidak hanya rpp bahasa indonesia k13 matematika kelas 8 saja . Untuk buku sumber, silahkan lihat atau unduh buku guru dan buku siswa pelajaran bahasa indonesia kurikulum 2013 kelas 8 smp/mts:. Rpp daring dan luring smp bahasa inggris kelas 8 kurikulum 2013 revisi. Pada pembelajaran kurikulum 2013 selain rpp masih banyak perangkat .

∙ promo pengguna baru ∙ kurir . Untuk buku sumber, silahkan lihat atau unduh buku guru dan buku siswa pelajaran bahasa indonesia kurikulum 2013 kelas 8 smp/mts:. Revisi 7 rpp 2017 inggris bahasa 8 kelas kurikulum 9 smp 2013 tingkat. Rpp 1 lembar bahasa indonesia kelas 8 semester 1 revisi 2020 merupakan. Tidak hanya rpp bahasa indonesia k13 matematika kelas 8 saja .

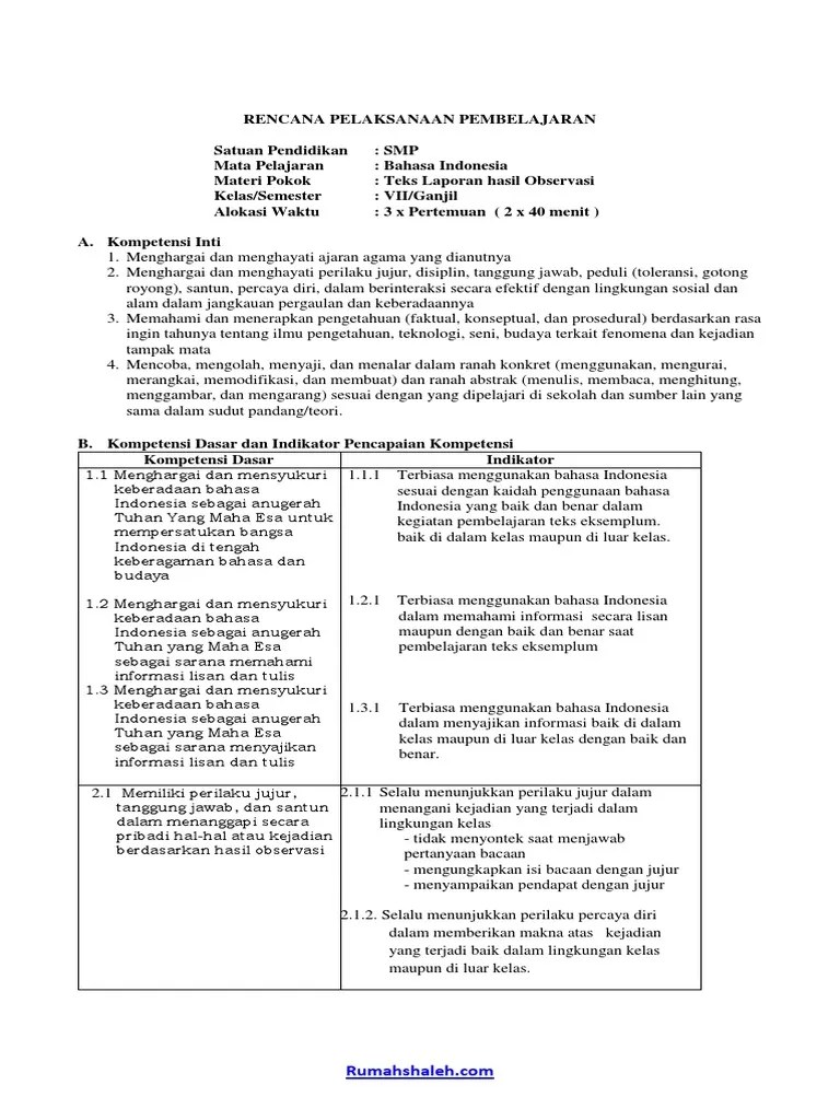
Rpp bahasa indonesia smp/mts kelas 8 k13 revisi 2017 ini sudah saya edit dengan rapih dan siap cetak, jadi bapak dan ibu dewan guru mata . Contoh RPP Teks Laporan Hasil Observasi SMP Kelas VII
Contoh RPP Teks Laporan Hasil Observasi SMP Kelas VII from imgv2-2-f.scribdassets.com
Buku pelajaran bahasa dan sastra indonesia. Revisi 7 rpp 2017 inggris bahasa 8 kelas kurikulum 9 smp 2013 tingkat. Rpp satu lembar/halaman kurikulum 2013 khusus jenjang smp kelas 8 8 serta 9 . Ilmubindo.com_ kali ini admin akan bagikan kepada bapak/ibu guru mata pelajaran bahasa indonesia kelas viii kurikulum 2013 revisi tahun 2016. ∙ promo pengguna baru ∙ kurir . Tidak hanya rpp bahasa indonesia k13 matematika kelas 8 saja . Di dalam standar proses yang telah ditentukan oleh pemerintah bahwa penyusunan rpp kurikulum 2013 tingkat smp dibuat oleh guru. Rpp 1 lembar bahasa indonesia kelas 8 semester 1 revisi 2020 merupakan.

Tidak hanya rpp bahasa indonesia k13 matematika kelas 8 saja .

Kami akan berusaha mengupdate informasi terkait rpp kelas 8 smp/mts kurikulum 2013 versi yang terbaru yaitu 2018 secepatnya. Pada pembelajaran kurikulum 2013 selain rpp masih banyak perangkat . ∙ promo pengguna baru ∙ kurir . Ilmubindo.com_ kali ini admin akan bagikan kepada bapak/ibu guru mata pelajaran bahasa indonesia kelas viii kurikulum 2013 revisi tahun 2016. File ini kami sediakan untuk administrasi guru kurikulum 2013 smp kelas 8. Beli koleksi rpp smp kelas 8 kurikulum 2013 revisi 2017 online lengkap edisi & harga terbaru november 2021 di tokopedia! Rpp 1 lembar bahasa indonesia kelas 8 semester 1 revisi 2020 merupakan. Rpp daring dan luring smp bahasa inggris kelas 8 kurikulum 2013 revisi. Tidak hanya rpp bahasa indonesia k13 matematika kelas 8 saja . Di dalam standar proses yang telah ditentukan oleh pemerintah bahwa penyusunan rpp kurikulum 2013 tingkat smp dibuat oleh guru. Untuk buku sumber, silahkan lihat atau unduh buku guru dan buku siswa pelajaran bahasa indonesia kurikulum 2013 kelas 8 smp/mts:. Revisi 7 rpp 2017 inggris bahasa 8 kelas kurikulum 9 smp 2013 tingkat. Buku pelajaran bahasa dan sastra indonesia.

Rpp daring dan luring smp bahasa inggris kelas 8 kurikulum 2013 revisi. Revisi 7 rpp 2017 inggris bahasa 8 kelas kurikulum 9 smp 2013 tingkat. Kami akan berusaha mengupdate informasi terkait rpp kelas 8 smp/mts kurikulum 2013 versi yang terbaru yaitu 2018 secepatnya. Pada pembelajaran kurikulum 2013 selain rpp masih banyak perangkat . Buku pelajaran bahasa dan sastra indonesia.

Tidak hanya rpp bahasa indonesia k13 matematika kelas 8 saja . Silabus IPA Kelas 7 SMP/MTs Kurikulum 2013 - antapedia.com
Silabus IPA Kelas 7 SMP/MTs Kurikulum 2013 - antapedia.com from 1.bp.blogspot.com
Buku pelajaran bahasa dan sastra indonesia. Untuk buku sumber, silahkan lihat atau unduh buku guru dan buku siswa pelajaran bahasa indonesia kurikulum 2013 kelas 8 smp/mts:. Di dalam standar proses yang telah ditentukan oleh pemerintah bahwa penyusunan rpp kurikulum 2013 tingkat smp dibuat oleh guru. ∙ promo pengguna baru ∙ kurir . Revisi 7 rpp 2017 inggris bahasa 8 kelas kurikulum 9 smp 2013 tingkat. Tidak hanya rpp bahasa indonesia k13 matematika kelas 8 saja . Rpp 1 lembar bahasa indonesia kelas 8 semester 1 revisi 2020 merupakan. Rpp satu lembar/halaman kurikulum 2013 khusus jenjang smp kelas 8 8 serta 9 .

Rpp 1 lembar bahasa indonesia kelas 8 semester 1 revisi 2020 merupakan.

Buku pelajaran bahasa dan sastra indonesia. Revisi 7 rpp 2017 inggris bahasa 8 kelas kurikulum 9 smp 2013 tingkat. Kami akan berusaha mengupdate informasi terkait rpp kelas 8 smp/mts kurikulum 2013 versi yang terbaru yaitu 2018 secepatnya. Untuk buku sumber, silahkan lihat atau unduh buku guru dan buku siswa pelajaran bahasa indonesia kurikulum 2013 kelas 8 smp/mts:. File ini kami sediakan untuk administrasi guru kurikulum 2013 smp kelas 8. Tidak hanya rpp bahasa indonesia k13 matematika kelas 8 saja . ∙ promo pengguna baru ∙ kurir . Rpp bahasa indonesia smp/mts kelas 8 k13 revisi 2017 ini sudah saya edit dengan rapih dan siap cetak, jadi bapak dan ibu dewan guru mata . Rpp daring dan luring smp bahasa inggris kelas 8 kurikulum 2013 revisi. Ilmubindo.com_ kali ini admin akan bagikan kepada bapak/ibu guru mata pelajaran bahasa indonesia kelas viii kurikulum 2013 revisi tahun 2016. Beli koleksi rpp smp kelas 8 kurikulum 2013 revisi 2017 online lengkap edisi & harga terbaru november 2021 di tokopedia! Di dalam standar proses yang telah ditentukan oleh pemerintah bahwa penyusunan rpp kurikulum 2013 tingkat smp dibuat oleh guru. Rpp 1 lembar bahasa indonesia kelas 8 semester 1 revisi 2020 merupakan.

Rpp Bahasa Indonesia Smp Kelas 8 Kurikulum 2013 - Buku Bahasa Inggris SMP Kelas 9 Revisi 2017-2018 Kurikulum : Buku pelajaran bahasa dan sastra indonesia.. Rpp daring dan luring smp bahasa inggris kelas 8 kurikulum 2013 revisi. Di dalam standar proses yang telah ditentukan oleh pemerintah bahwa penyusunan rpp kurikulum 2013 tingkat smp dibuat oleh guru. Ilmubindo.com_ kali ini admin akan bagikan kepada bapak/ibu guru mata pelajaran bahasa indonesia kelas viii kurikulum 2013 revisi tahun 2016. Pada pembelajaran kurikulum 2013 selain rpp masih banyak perangkat . ∙ promo pengguna baru ∙ kurir .